Miasto planuje wyburzyć budynki mieszkalne, pustostany oraz dawne lokale użytkowe w północnych dzielnicach Szczecina. Znikną m.in. oficyna przy ulicy Studziennej czy kamienice przy ul. Strzałowskiej i Światowida. Jak mówi Michał Przepiera, zastępca prezydenta Szczecina, to konieczne, ponieważ budynki są w fatalnym stanie technicznym.

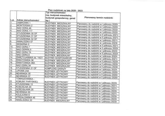
29 budynków zniknie do 2023 roku. „Rozbiórka ze względu na stan techniczny”

Radny Dariusz Matecki zapytał prezydenta Szczecina o planowane wyburzenia w północnych dzielnicach Szczecina, czyli na Stołczynie, Skolwinie, Golęcinie, Gocławiu, ale i na Warszewie czy Osowie. Odpowiedzi udzielił zastępca prezydenta Szczecina Michał Przepiera i wynika z niej, że w ciągu trzech najbliższych lat z powierzchni ziemi zniknie blisko 30 budynków.

– Zarząd Budynków i Lokali Komunalnych posiada w formie oświadczeń woli zgodę Prezydenta Miasta Szczecin na rozbiórkę 17 budynków mieszkalnych i 12 niemieszkalnych. Wszystkie te budynki zostały zakwalifikowane do rozbiórki ze względu na stan techniczny. Większość budynków jest opróżniona, w pozostałych budynkach mieszkańcy są poinformowani o planowanej rozbiórce i oczekują na lokale zamienne – informuje Michał Przepiera.

Budynki przeznaczone do rozbiórki to kamienice znajdujące się przy ulicach: Dąbrówki, Monterskiej, Nad Odrą, Światowida, Świętojańskiej czy Studziennej. Wyburzone zostaną również pustostany i budynki gospodarcze znajdujące się przy ulicach: Lipowej, Nehringa, Tomaszowskiej czy Studziennej.

„Zamiast uzdrawiać tkankę miejską, miasto ją likwiduje”

Radny Dariusz Matecki nie jest usatysfakcjonowany odpowiedzią Urzędu Miasta. Uważa, że stan wielu lokali jest zły, ponieważ przez lata były one zaniedbywane:

– W wielu przypadkach miasto bezpośrednio odpowiada za wieloletni brak remontów i konieczność wyburzenia historycznych budynków. Zamiast uzdrawiać tkankę miejską, miasto ją likwiduje. Razem z radnymi poszczególnych północnych osiedli zamierzam przypilnować, aby mieszkańcy otrzymali godne warunki w komunalnych mieszkaniach zastępczych – komentuje Matecki.

Radny PiS przygotował też kolejną interpelację, w której pyta m.in. jak zagospodarowana zostanie przestrzeń po wyburzonych lokalach.

Światowida 36:

Strzałowska 46:

Studzienna 30: